如何計算循環水的旁濾量?
2013年08月28日確定循環水系統的旁流量,比較簡單的做法是按循環冷卻水量的一個百分數來假設,并以此來設計出來裝置的容量。但這樣決定的旁濾池不是偏大,就是偏小,如果以計算的方法來確定旁濾量,則比較科學和切合現場的實際情況。計算循環水的旁濾量一般以水中的濁度為計算根據。影響水中的濁度因素很多,如補水水質、空氣中的懸浮物質、水質微生物的控制情況、運行中的濃縮倍數等等,因此無法對它進行計算,所以一般計算時就用設置旁濾池前的濁度和設置旁濾池后要求循環水的濁度為設計依據,前者可由運行時的操作數據得出。附有旁流處理裝置的冷卻水系統。
設循環水系統的補充水流量為M m3/h,補充水的濁度為Cm g/m3;進入冷卻塔的空氣量為RA m3/h;空氣中所含懸浮物為CA g/m3;排污水量為B m3/h;循環是濁度在沒有使用旁濾池的循環歲濁度為C mg/L;出票了池的循環水濁度為Cs mg/L;旁濾量為S m3/h。
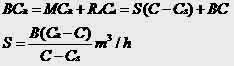
在沒有設置旁濾池時,循環水系統帶出的懸浮物為BCR,在系統濁度不變的情況下,這個數值相當于帶入循環水系統的懸浮物量,即循環水補水、空氣中懸浮物之總和,以式子表示 BCR=MCM+RACA
設置旁濾池后,循環水中排出的懸浮物,為BC+S(C=CS),而帶入的懸浮物基本不變,

計算實例:某廠循環水系統R=8000m3/h,排污水量B=30m3/h,循環水濁度CR=100mg/L,今要求設置旁濾池,并
使循環水濁度C=20mg/L,出旁濾池的濁度CS=5mg/L,求旁濾量 S。
解:有上式

旁濾量與循環水量之比為





